- 熱門關鍵詞:
- 武漢LED顯示屏
- 武漢LED電子屏
- 武漢LED廣告屏
- LED顯示屏安裝
- LED顯示屏批發
隨著LED顯示屏在戶外的普及與發展,如何對其視覺質量進行合理評價成為亟待解決的問題。本文建立了用于評價核心商區LED顯示屏視覺質量的理論模型。首先通過研究LED顯示屏的工作原理、物理性質以及相關標準、規范,從物理客觀指標和心理主觀指標兩方面篩選出13個影響LED顯示屏視覺質量的評價指標;再將德爾菲法與聚類算法結合,篩選出符合要求的評價指標集;較后運用遺傳算法對層次分析法所構建出的初始判斷矩陣進行優化并求解出各指標權重,從而構建出核心商區LED顯示屏視覺質量評價理論模型。
近年來LED顯示屏因其良好的動態性、色彩的豐富性以及信息發布的便利性而被廣泛應用于城市的夜景中。LED顯示屏的視覺質量直接影響到環境中行人、駕駛員等的視覺功能和心理感受。盡管相關標準中對戶外顯示屏亮度的較高允許值做出了限定,但對其較佳亮度、動態性能的優劣等卻并未涉及。因此,如何合理地對LED顯示屏視覺質量進行評價,以及如何獲得相關指標的推薦值成為目前應解決的問題。本文通過聚類算法優化的德爾菲法對LED顯示屏視覺質量指標進行篩選,確定了評價體系指標集;將層次分析法與遺傳算法結合,構建LED顯示屏視覺質量評價層次結構并獲得指標權重,從而確立LED顯示屏視覺質量評價理論模型。
1評價對象所處區域限定
核心商業區又稱商業中心區,是集商場、金融、服務和娛樂為一體的商業聚集區。在《室外照明干擾光限制規范》(DB11/T731—2010)中,商業區和城市中心區被一同劃分為高亮度區域E4(表1),其中不同區域由于其區域屬性和功能的區別,夜景照明亮度水平有所不同。

戶外LED顯示屏由于其亮度高、色彩鮮艷等特點被廣泛應用于城市夜景中。但由于不同環境區域之間的差異性,LED顯示屏設置的數量、尺寸以及動態性程度也有所不同。在《深圳市戶外LED顯示屏設置專項規劃》、《上海市戶外廣告設施設置陣地規劃》等文件中均提出LED顯示屏的設置要“因地制宜”,并將LED顯示屏設置區域進行了控制,分為:禁止區(E1)、控制區(E2、E3)和展示區(E4),對于核心商業區所屬的展示區,LED顯示屏的設置限制更少,也因此應用更為廣泛。同時,由于不同區域本身亮度的差異,因此不同區域中LED顯示屏表面亮度的限值也不同,為了得到統一的評價模型,本文將評價對象限定為核心商業區中的LED顯示屏,用以在統一的應用環境中設置評價標準。
2評價指標集的確定
2.1物理客觀指標與心理主觀指標
根據LED顯示屏在核心商區中的應用特點,將評價指標分為物理客觀指標和心理主觀指標兩大類。在對核心商區LED顯示屏視覺質量評價的過程中,可通過儀器直接測量及進一步計算得到的物理客觀指標包括:表面亮度水平、表面亮度均勻性、表面亮度與背景亮度對比、屏幕對比度、色彩還原度、表面亮度瞬時變化差值以及畫面切換時間。
LED顯示屏的視覺主體是人,在進行視覺質量評價時不能不考慮人的視覺心理感受。非量化的心理主觀指標包括:眩光、動態適宜度、觀看舒適度、環境協調性、視覺誘導性和外觀藝術性。
2.2聚類算法改進的德爾菲法
德爾菲法是一種采用背對背通信方式征詢專家小組成員預測意見,并通過多輪征詢使意見趨于一致的定性評價法。聚類算法是以相似性為基礎,將相似性強的樣本聚成一類的研究分類問題的統計分析方法。
若德爾菲法過程中個別專家意見樣本與其他樣本間偏差過大,則會對問卷結果和樣本間一致性產生較大影響,從而影響德爾菲法收斂過程。因此本文提出,利用聚類算法對每一輪的專家意見進行聚類,根據聚類結果將與大多數樣本差異性大的樣本刪除,以減少個人因素對問卷結果的影響,具體過程如圖1所示。

2.3德爾菲法相關指標
2.3.1重要性、判斷依據和熟悉程度的量化
專家問卷中要求每一位專家對單個指標的重要性程度、判斷依據及熟悉程度進行判斷。這三項內容的量化方式如表1所示。其中、、分別表示第i位專家對第j個指標的重要性、判斷依據和熟悉程度的量化值。

2.3.2指標選取規則指標選取的原則為對LED顯示屏視覺質量的重要程度為比較重要及以上,即滿足指標重要性加權平均值:Aj≥6,見式(1)。此外應保證專家意見達到一定程度的協調,即變異系數:CVj<0.15,見式(2)。
2.4德爾菲法確定評價指標集
本次德爾菲法共進行了三輪問卷。第三輪問卷后,所有指標均達到一致性收斂要求CVj<0.15。較后一輪問卷數據如表2所示。

表2中指標C13的重要性均值小于6,不符合指標篩選的條件,需要從指標集中刪除。
因此通過聚類算法優化的德爾菲法的過程,較終確定的核心商區LED顯示屏視覺質量評價指標集為:表面亮度水平C1、表面亮度均勻性C2、表面亮度與背景亮度對比C3、屏幕對比度C4、色彩還原度C5、表面亮度瞬時變化差值C6、畫面切換時間C7、眩光C8、動態適宜度C9、觀看舒適度C10、環境協調性C11以及視覺誘導性C12。
3指標權重的確定
層次分析法是將一個復雜目標分解成多個子目標,進而分解成具有若干個層次的指標體系,通過定性指標模糊量化方法確定每個層次指標的權重,從而作為多目標、多方案優化決策的系統方法。基本步驟為:①建立遞階層次結構模型,②構造判斷矩陣,③一致性檢驗和,④計算權重向量。
3.1LED顯示屏視覺質量評價層次結構模型將前文篩選出的指標指標集構建成圖2的三層LED顯示屏視覺質量評價的層次結構模型。

3.2初始判斷矩陣
對前文篩選出的12個指標進行重要性兩兩對比,可獲得不同指標間的重要性相對比較值。本文采取表3中的1~9標度法。初始判斷矩陣為A0={aij}n×n(3)
其中aij為重要性標度值,aij=1/aji,n為指標個數,i,j=1,2,…,n。


由此構建出的初始判斷矩陣為如式(4)所示。

3.3一致性檢驗
矩陣的一致性程度用一致性比例CR表示,如下:

其中CI為一致性指標,RI為隨機一致性比率,當矩陣階次為12時,RI=1.54。一致性指標如式
(6)所示。

其中λmax為判斷矩陣的較大特征值。當CR<0.10時,認為判斷矩陣的一致性是可以接受的,否則應對判斷矩陣作適當修正。
由式(5)可計算得出初始判斷矩陣A0的一致性比例CR0稍大于0.10,因此需對其進行修正。
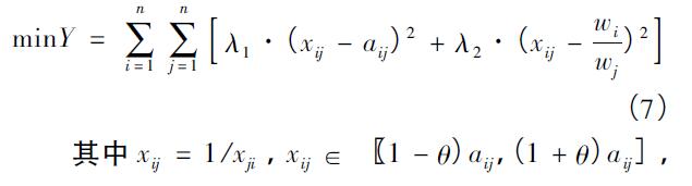
3.4構建較小二乘一致性修正模型
由于核心商區LED顯示屏視覺質量評價體系中包含較多的評價指標,構成的初始判斷矩陣較難滿足一致性校驗,因此需要構建出一個合適的修正模型,并利用智能算法求解出能通過一致性校驗的判斷矩陣及其對應的權重向量。
假設修正后的矩陣為X=(xij)n×n,權重向量為W=(wi)1×n,其中i,j=1,2,…,n。
由于模型既要滿足盡可能小地修改初始判斷矩陣,又要盡可能大地滿足一致性要求,因此構建出的較小二乘一致性修正模型如下:


該模型是一個求較小值的問題,目標函數Y的值越小越好。其中λ1,λ2為權重因子,分別表示對專家意見和一致性的遵循程度,θ為修正矩陣中元素的約束條件,值越小表示對原矩陣的遵循程度越高。
3.5遺傳算法求解模型
遺傳算法是通過模擬自然進化過程搜索全局較優解的智能算法。本文采取遺傳算法尋找2.4中模型的較優解,過程如下:
1)初始化。隨機生成M個個體作為初始群體P(0),設置較大進化代數gmax和計數器Generation。其中判斷矩陣中右上角n(n-1)/2個元素以及n個權重因子共同構成染色體基因,因此每個個體長度為n(n+1)/2,采用實數編碼。
2)計算個體適應度。個體適應度決定了個體在進化過程中被選擇的概率,適應度越大被選擇的幾率越大。因此需要將模型中求較小問題的目標函數轉換為非負較大問題函數來求解個體適應度。本文選擇的適應度函數為

其中f(chrom)為目標函數,chrom為群體中的染色體。
3)選擇。本文采用轉盤式選擇算子[8]對個體進行選擇,每次進化過程中個體被選擇的概率與適應度值成正比,即

上一代群體中被選擇的個體共同構成下一代

群體。
4)交叉。對于選出的兩個個體,有pcross=0.75的概率進行交叉,隨機選中第x位染色體進行互換,并將交叉后的個體放入下一代。
5)變異。每個個體有pmutation=0.09的概率進行變異,并隨機選中第x位染色體進行變異并放入下一代群體。
6)重新計算適應度值,判斷適應度是否達到閾值或者Generation是否大于gmax,是則結束進化,否則回到第(3)步。
利用Matlab實現遺傳算法對較小二乘一致性修正模型的求解,設置個體規模為M=50,進化代數gmax=1000,目標函數中λ1=0.1,λ2=0.9,θ=0.2。則優化后的矩陣X和權重向量W分別為:

優化后矩陣的一致性比例CR=0.0577<0.1000,滿足判斷矩陣的一致性要求。
4核心商區LED顯示屏視覺質量評價模型
通過遺傳算法求解較小二乘一致性模型得到優化后的判斷矩陣和權重向量,將優化后的矩陣作為較終的判斷矩陣,權重向量作為各指標權重,從而構建出核心商區LED顯示屏視覺質量評價模型,如表5所示。
5總結與展望
本文首先利用聚類算法對傳統的德爾菲法進行優化,避免了邊緣數據對德爾菲法問卷結果的影響。通過此方法對初步選擇出的13個影響核心商區LED顯示屏視覺質量的指標進行篩選,得出外觀藝術性這一指標對LED顯示屏視覺質量影響較弱的結論,并將其從指標集中刪除。
接著采用層次分析法構建出核心商區LED顯示屏視覺質量評價指標層次結構,通過專家對指標的兩兩比較得出初始判斷矩陣。隨后利用遺傳算法對初始判斷矩陣進行修正,獲得各指標權重從而構建出核心商區LED顯示屏視覺質量評價理論模型。
本課題后續需要通過主客觀結合的現場調研來驗證模型的合理性,并通過結合LED顯示屏視覺質量主觀評價結果和客觀數據,獲得指標相關物理量的推薦值,為商業區戶外LED顯示屏的設計提供依據。